adblock statement

Breakthrough in the construction of nuclear fusion reactors - new calculations - a charged ionized Kawecki ring could replace the strongest electromagnets


Calculations for my nuclear fusion reactor ring - the charge accumulated in half the ring and the average angle of interaction is 45° - the average value of the sine function from 0 to 180 degrees is 2 ÷ pi, so we multiply the charge interaction of half the ring by 2 ÷ pi and compare the Coulomb electric force from half the ring to the Lorentz magnetic force of the strongest magnets.


ITER magnet to be 13 T
Wendelstein 7-X magnets 6-15 T
MIT magnet 20 T
Chinese magnets 21.7 - 35.1 T
Tokamak Energy magnets 24.4 T

The velocity of a deuteron with kinetic energy of 1 MeV is approximately 9.79 × 10⁶ m/s


Maximum Lorentz magnetic force F = q × V × B

Deuteron charge 1.602176634×10^−19 C

The velocity of a deuteron with kinetic energy of 1 MeV is approximately 9.79 × 10⁶ m/s

Magnetic flux density also called magnetic B-field strength from 6 to 35.1 T
Checking the Lorentz magnetic force for 22 and 35 T

F 22 T = 1.602176634×10^−19 × 9.79 × 10^6 × 22 = 3.45076803 × 10^-11 newton N


F 35 T = 1.602176634×10^−19 × 9.79 × 10^6 × 35 = 5.48985824 × 10^-11 newton N


F 35.1 T = 1.602176634×10^−19 × 9.79 × 10^6 × 35.1 = 5.50554355 × 10^-11


Coulomb electric force F = q × E

Electric field intensity due to half the charged ionized ring E = 2 ÷ π × k × Q ÷ r^2 = 2 ÷ π × 1 ÷ ( 4 π × ε₀ ) × Q ÷ r^2

Q electric charge of half the charged ionized ring

Electric field intensity required to produce the equivalent magnetic force on a deuteron with a velocity of approximately 9.79 × 10⁶ m/s in a magnetic field of 35.1 tesla T
E = F ÷ q

F = 5.50554355 × 10^-11 newton N
q Charge of deuteron 1.602176634×10^−19 C

E = 5.50554355 × 10^-11 ÷ ( 1.602176634×10^−19 ) = 343,629,000.27164 N / C newton / coulomb

E = 2 ÷ π × 1 ÷ ( 4 π × ε₀ ) × Q ÷ r^2


Q = E × π ÷ 2 × 4 π × ε₀ × r^2 = E × π^2 × 2 × ε₀ × r^2

E = 343,629,000.27164 N / C

ε₀ = 8.854187812813 × 10^−12 F/m

Q = 343,629,000.27164 × π^2 × 2 × 8.854187812813 × 10^−12 × 0.16^2 = 343,629,000.27164 × π^2 × 2 × 8.8541878128 × 10^−12 × 0.16^2 = 0.0015374756 C


It's a bit low, I'll check later, but if there's no mistake, it's shockingly low

* edit Additional data check

According to the data validation analysis using ChatGPT and Copilot, the maximum confirmed real surface charge density σ = ~ 10^-3 C / m², i.e. 0.001 C/m², so if the limit is the surface charge density σ = ~ 0.001 C/m², it is enough to increase the surface area of ​​the metal elements or the metal part of the ring and it is possible to obtain the calculated charge Q = 0.0015374756 C - if the ring cannot be charged more by charging its elements on both sides, then with dimensions of 1 m circumference - radius of about 16 cm and a ring width of about 10 - 20 cm or even 30 cm, you can make a 6 - 7 - 10 - 20 layered ring, and if the area of ​​both sides is taken into account in double-sided charging, you can make fewer layers or reduce the dimensions and you can easily get an area of ​​2 m².

Copilot - Breakthrough in the construction of nuclear fusion reactors - new calculations - a charged ionized Kawecki ring could replace the strongest electromagnets ChatGPT - Breakthrough in the construction of nuclear fusion reactors - new calculations - a charged ionized Kawecki ring could replace the strongest electromagnets

For comparison, I previously calculated that a mini piece of copper measuring 1 mm by 1 mm by 1 mm can be charged
Q = 13.5664942388 coulombs C
At an ionization voltage of
U = 33,928,277.445413 V

13.5664942388 C ÷ 0.0015374756 C = 13.5664942388 ÷ 0.0015374756 = 8,823.8761244731 times less charge, so we calculate how much we can reduce the ionization voltage and the dimensions of the copper piece to maintain a charge of 0.0015374756 C
cube root cbrt(8,823.8761244731) = 20.6642573027 times

U = 33,928,277.445413 V ÷ 20.6642573027 = 33,928,277.445413 ÷ 20.6642573027 = 1,641,882.2582595 volts V

So instead of using expensive, energy-intensive electromagnets with a magnetic flux density also called magnetic B-field strength of, for example, 35.1 Tesla T, simply use a charged ionized ring - a voltage of 1,641,882.2582595 volts V is enough.


For comparison, small pocket-sized stun guns available on the market can have a voltage of 50-98 million volts V, and a lightning bolt can have a voltage of 100 million to 1 billion volts V.

5 Liters of Copper × 8.935 kg/L = 44.675 kg
44.675 kg × 80 PLN/kg = 3,574 PLN + cost of ionizer, inverter and other accessories

The strongest electromagnet in the world


Semi half mechanical electromechanical magnet electromagnet

The speed of electrified elements incorporated into a rotating disk or ring or roller or cylinder or cone or dome or sphere or ball or segments of a rotating disk, or simply the electrified disk itself, e.g. with a gap blocking the circular flow of charge, can be e.g. 16.67 metre per second ( m/s ) and this is already at a rotational speed of 1000 revolutions per minute ( rpm, rev/min, r/min, r·min−1 ). For comparison, the electron drift speed ( electron drift velocity ) in a conductor or the speed of super- current in a superconductor is in the range of 0.1 to 1 millimeter per second. In addition, instead of increasing the percentage charge of the disk elements or the disk itself, the amount of moving charge can be increased by increasing the volume of the charged disk elements or the disk itself.

The strongest electromagnet in the world semi half mechanical electromechanical magnet electromagnet electro mechanical the most powerful

Semi half mechanical electromechanical magnet electromagnet


The strongest electromagnet in the world semi half mechanical electromechanical magnet electromagnet electro mechanical the most powerful

Concept of electromechanical electromagnet with lower energy consumption and greater strength than commonly known magnets, which could enable the construction of cheaper hydrogen fusion reactors, the construction of spaceships with greater range, enable the levitation of larger animals than in Bitter's magnets and facilitate the construction of boats, ships, and boards levitating above the water with lower power consumption. An electromechanical electromagnet ( semi-mechanical electromagnet ) is a type of magnet in which the magnetic field is produced by a rotating ring or e.g. disk e.g. with charged elements incorporated and e.g. at a rotational speed of 1000 rpm provide a speed of electrons or positive ions e.g. 16.67 m/s with a diameter of about 32 cm / 12.6 inches.
For comparison, the electron drift speed ( electron drift velocity ) in a conductor or the speed of super- current in a superconductor is in the range of 0.1 to 1 millimeter per second.
In addition, instead of increasing the percentage charge of the ring or disk elements, the amount of moving charge can be increased by increasing the volume of the charged ring or disk elements

* edit I'm adding calculations

The formula for the drift velocity of electrons in a conductor is u=I/nAe, therefore the equivalent current is I=unAe
u - drift velocity of electrons or positive ions in a rotating charged ring or disk = 2πr × rpm. / min / 60
n - number of electrons per cubic meter = Avogadro's constant × number of moles per cubic meter × number of ionized valence electrons
e.g., for copper, e.g., with 1 electron ionized per atom, the number of ionized electrons n per cubic meter = 6.02214076×10^23 mol^-1 × 140,606.80451956 mol/m^3 × 1 = 8.46753969×10^28 m^-3
A - cross-section
e.g., for a ring or disk with a diameter of about 32 cm, i.e., a radius of 0.16 m, the circumference is about 1 meter, and e.g., 5 liters of copper = 0.005 m^3 of copper = 0.005 m^3 / about 1 meter = about 0.005 m^2
The thickness of such a ring is √(0.005 m^2) = 0.0707 m, or 7.07 cm
e - elementary charge of the electron = -1.602176634×10^−19 C
I - equivalent current = unAe = 16.67 m/s × 8.46753969×10^28 m^-3 × 0.005 m^2 × 1.602176634×10^−19 C = 16.67 × 8.46753969×10^28 × 0.005 × 1.602176634×10^−19 = 1,130,767,294.8028 amps
For comparison, the current in a Bitter electromagnet with a magnetic induction of 16 Tesla during operation is about 20,000 amps.
1,000,000,000 amps / 20,000 amps = 50,000 times greater equivalent current than the current in a Bitter 16 Tesla magnet. However, Bitter magnets can contain about 1,000 current-carrying plates, so with 1 rotating charged ring or disk with the previously given dimensions of 7.07 × 7.07 cm and a circumference of 1 m, the current difference is about 50 times. In addition, on the one hand, a 7 cm ring is about 4-8 times thinner than a stack of 1,000 plates, which increases the density of the magnetic field. On the other hand, the hole in the center of the ring or disk has, for example, about 60 times greater surface area than in a Bitter electromagnet, which in turn reduces the density of the magnetic field

50 × 16 tesla = 800 tesla T
800 tesla ÷ 7.5 or 15 = 106.67 or 53.33 tesla T
However, due to the opposing motion of charges on the left and right sides of the ring or disk, magnetic forces tear the ring or disk apart. Furthermore, magnetic forces compress the ring or disk in a direction parallel to its axis, and one must limit oneself, for example, to 80 tesla T to avoid damaging the disk.
In tests to destroy the ring or disk, it can be spun up to speeds of over 100,000 - 300,000 rpm and theoretically achieve a magnetic induction of over 80,000 - 240,000 tesla T ÷ 7.5 or 15 = 5,333.33 - 32,000 tesla T


Calculating the voltage needed to ionize a metal ring or disk, e.g., made of copper. Based on the density of copper according to the popular version of 8935 kg/m^3, the molar atomic mass of copper of 63.546 g/mol, and the Avogadro constant of 6.02214076×10^23 mol^−1, I first calculate the number of copper atoms per cubic meter and the thickness of 1 atom in a copper block: 8935000 g/m3 ÷ 63.546 g/mol = 140,606.80451956 mol/m^3. 140,606.80451956 mol/m^3 × 6.02214076×10^23 mol^−1 = 8.46753969 × 10^28 atoms / m^3
Cubic root cbrt(8.46753969×10^28) = 4,391,225,573.3491 atoms / m
Thickness of 1 atom in a copper block = 1 m ÷ 4,391,225,573.3491 atoms/m = 0.227726857 × 10^-9 m or nanometer
With one ionizer connection on the opposite side of the gap in the ring
the ionizing voltage has to travel through a 0.5 m thick row of atoms.
0.5 m × 4,391,225,573.3491 atoms/m = 2,195,612,786.6746 atoms from the ionizer connection point to the gap in the disc.
Based on the ionization energy, I assume the ionization voltage of 1 copper atom is 7.72638 V. You can also check the voltages of 4.53 - 5.10 V based on the work function.

7.72638 V × 2,195,612,786.6746 atoms = 16,964,138,722.707 V.
So the disk must be divided along the circumference into at least 100 or better 200 parts, the thickness and width into 14.14 or 28.28 parts, i.e. into at least 100 - 200 × 14.14 × 14.14 = 19,993.96 - 39,987.92 parts or better 200 - 400 × 28.28 × 28.28 = 159,951.68 - 319,903.36 parts to reduce the ionization voltage from 16.96 billion volts V to at least 169.64 million volts V or e.g. 84.82 million volts V.

For comparison, small pocket stun guns available on the market can have a voltage of 50 - 98 million volts V, and lightning can have a voltage of from 100 million to 1 billion volts


5 liters of copper × 8.935 kg/L = 44.675 kg
44.675 kg × 80 PLN/kg = 3,574 PLN + the cost of the ionizer, inverter, and other accessories


A mini piece or block or prism of 0.000001 Liter of copper as a battery


Calculations
Q - electric charge = number of added or subtracted electrons / m^3 × volume x elementary charge of electron = 8.46753969×10^28 m^-3 × 0.000000001 m^3 × 1.602176634×10^−19 C = 8.46753969×10^28 × 0.000000001 × 1.602176634×10^−19 = 13.5664942388 coulombs C

Side length of a piece of copper block = Cube root of 0.000000001 m^3 = cbrt(0.000000001) = 0.001 m or 1 millimeter mm

0.001 m × 4,391,225,573.3491 atoms/m = 4,391,225.5733491 atoms

Based on the ionization energy, I assume the ionization voltage of 1 copper atom is 7.72638 V. You can also check the voltages of 4.53 - 5.10 V based on the work function.

4,391,225.5733491 atoms × 7.72638 V = 33,928,277.445413 V

13.5664942388 C × 33,928,277.445413 V = 13.5664942388 × 33,928,277.445413 = 460,287,780.4956 joules J

A 100 kWh battery has 360,000,000 joules J

460,287,780.4956 J ÷ 360,000,000 J = 460,287,780.4956 ÷ 360,000,000 = 1.278577168 times greater/higher capacity, so we calculate how much we can reduce the ionization voltage and the dimensions of the copper piece to maintain 100 kWh of capacity. √(√(1.278577168)) = 1.0633634685 times

33,928,277.445413 V ÷ 1.0633634685 = 31,906,566.710697 volts V, therefore, the copper piece is smaller than 0.000001 liters, i.e. 0.000001 × 8.935 kg/L = 0.000008935 kg = 0.008935 g or many smaller pieces of copper may one day replace other batteries at voltages as low as 31,906,566.710697 volts V


5 Liter Copper Block as a Battery

Calculations
Q - electric charge = number of electrons added or subtracted / m^3 × volume x elementary charge of the electron = 8.46753969×10^28 m^-3 × 0.005 m^3 × 1.602176634×10^−19 C = 8.46753969×10^28 × 0.005 × 1.602176634×10^−19 = 67,832,471.193928 C

Side length of the copper block = Cube root of 0.005 m^3 = cbrt(0.005) = 0.1709975947 m

0.1709975947 m × 4,391,225,573.3491 atoms/m = 750,889,010.82782 atoms
750,889,010.82782 atoms × 7.72638 V = 5,801,653,835.4799 V


67,832,471.193928 C × 5,801,653,835.4799 V = 67,832,471.193928 × 5,801,653,835.4799 = 3.93540517 × 10^17 J

A 100 kWh battery has 360,000,000 joules J

3.93540517 × 10^17 J ÷ 360,000,000 J = 3.93540517 × 10^17 ÷ 360,000,000 = 1,093,168,102.7778 times greater/higher capacity, so we calculate how much we can reduce the ionization voltage and the dimensions of the copper piece to maintain 100 kWh of capacity: √(√(1,093,168,102.7778)) = 181.8325954245 times

5,801,653,835.4799 V ÷ 181.8325954245 = 31,906,566.707336 volts V, so the copper block 6,011,947.9690954 times smaller than 5 liters, i.e. 5 ÷ 6,011,947.9690954 × 8.935 kg/L = 0.000007431 kg = 0.007431 g or many smaller pieces of copper may one day replace other batteries with voltages of 31,906,566.710697 volts V

Calculations for a battery voltage of 1000, 2000, 3000, 4000, 5000, ... volts V

1000 V / 7.72638 V = 129.4267172984 atoms

129.4267172984 atoms × thickness of 1 atom in a copper block 0.227726857 × 10^-9 m = 29.4739395×10^-9 m or about 30 nanometers

(29.4739395×10^-9)^3 × 8.46753969×10^28 m^-3 = 2,168,062.5322705 atoms and electrons in a cube with sides 30 nanometers

Charge = 2,168,062.5322705 × 1.602176634×10^-19 = 3.47361913×10^-13 coulombs C

Capacity = Charge × Voltage
3.47361913×10^-13 × 1000 = 3.47361913×10^-10 joules J

A 100 kWh battery has 360,000,000 joules J

360,000,000 ÷ (3.47361913×10^-10) = 1.03638305×10^18 or a quintillion nano pieces of copper


2000 V ÷ 7.72638 V = 258.8534345968 atoms

258.8534345968 atoms × thickness of 1 atom in a copper block 0.227726857 × 10^-9 m = 58.9478791×10^-9 m or about 59 nano meters

(58.9478791×10^-9)^3 × 8.46753969×10^28 m^-3 = 17,344,500.346435 atoms and electrons in a cube with sides 58.9 nano meters

Charge = 17,344,500.346435 × 1.602176634×10^-19 = 2.77889532×10^-12 coulombs C

Capacity = Charge × Voltage
2.77889532×10^-12 × 2000 = 5.55779064×10^-9 joules J

A 100 kWh battery has 360,000,000 joules J

360,000,000 ÷ (5.55779064×10^-9) = 6.47739405×10^16 or about 65 quadrillion nano pieces of copper

1 cent for less than 1 grams of copper + cost of ionizer, inverter and other accessories

This is calculated for a discharge to the ground - if it is not possible to discharge to the ground, you need to divide this piece of the block into 2 parts or add a second piece of the block.


3000 V ÷ 7.72638 V = 388.2801518952 atoms

388.2801518952 atoms × thickness of 1 atom in a copper block 0.227726857 × 10^-9 m = 88.4218186×10^-9 m or about 88.4 nanometers

(88.4218186×10^-9)^3 × 8.46753969×10^28 m^-3 = 58,537,688.569913 atoms and electrons in a cube with sides 88.4 nanometers

Charge = 58,537,688.569913 × 1.602176634×10^-19 = 9.37877168×10^-12 coulombs C

Capacitance = Charge × Voltage
9.37877168×10^-12 × 3000 = 2.81363150×10^-8 joules J

A 100 kWh battery has 360,000,000 joules J

360,000,000 ÷ (2.81363150×10^-8) = 1.27948525×10^16 or about 12.8 quadrillion nano pieces of copper


4000 V ÷ 7.72638 V = 517.7068691936 atoms

517.7068691936 atoms × thickness of 1 atom in a copper block 0.227726857 × 10^-9 m = 117.895758×10^-9 m or about 117.9 nano meters

(117.895758×10^-9)^3 × 8.46753969×10^28 m^-3 = 138,756,002.06531 atoms and electrons in a cube with sides 117.9 nano meters

Charge = 138,756,002.06531 × 1.602176634×10^-19 = 22.2311624×10^-12 coulombs C

Capacity = Charge × Voltage
22.2311624×10^-12 × 4000 = 8.89246496×10^-8 joules J

A 100 kWh battery has 360,000,000 joules J

360,000,000 ÷ (8.89246496×10^-8) = 4.04837131×10^15 or about 4 quadrillion nano Copper pieces


5 Liters of copper × 8.935 kg/L = 44.675 kg
44.675 kg × 80 PLN/kg = 3,574 PLN + the cost of the ionizer, inverter, and other accessories

The alternative theory of electromagnetism


2nd or 3rd revised edition - 1st edition was around 2016-2017

Static magnetic field

Relativistic electromagnetism

Patrick Kawecki

basics of electromagnetism basic electromagnetism source origin of magnetism pictures physics electrodynamics motion of a charged particle positive test charge in a magnetic field
Current-Carrying Wire, positive ions and electrons are shown separated for clarity

Electric field lines move together with the electrons and remain perpendicular to the conductor, but because they move sideways, the electric interaction propagates at a slight angle, thus creating a component of the electric field parallel to the conductor - this parallel component, just like the electric field of charges, decreases with increasing distance from the conductor, and this component parallel to the conductor is our magnetic field.

basics of electromagnetism basic electromagnetism source origin of magnetism pictures physics electrodynamics motion of a charged particle positive test charge in a magnetic field Patrick Kawecki
alternative, theory, electromagnetism, electricity, electric, explained, magnetism, origin, source, basics, physics, science,

Basics of Electromagnetism and special relativity

basic, electromagnetism, basics, field, magnetic, induction, electromagnetic, physics, science,

The theory of electromagnetism

Static magnetic field

Relativistic electromagnetism

Edward M. Purcell Electricity and Magnetism, Berkeley Physics Course, Vol. 2 in SI units

basics of electromagnetism basic electromagnetism source origin of magnetism pictures physics electrodynamics motion of a charged particle positive test charge in a magnetic field
Current-Carrying Wire, positive ions and electrons are shown separated for clarity
basics of electromagnetism basic electromagnetism source origin of magnetism pictures physics electrodynamics motion of a charged particle positive test charge in a magnetic field
Current-Carrying Wire, positive ions and electrons are shown separated for clarity

The linear density of positive charge in the test charge frame is
γλ0
Calculation of the linear density of negative charge in the test charge frame:
The electron linear density in the lab frame, which was - λ0, had already been increased by a Lorentz contraction.
Thus the linear density of negative charge in the electrons' own rest frame must have been
- λ00
We now calculate the speed of the electrons in the test charge frame in order to calculate their density there:
Relativistic formula for the addition of velocities
equation
equation
equation
Lorentz factor
equation
The total linear density of charge in the wire in the test charge frame
equation
A radial electric field of infinite line charge
equation
Force on test charge
equation
For the observer in the test charge frame wire is length contracted
Return to the lab frame
equation
The total current I in the wire
- λ0v0 or - λ0β0c
Force on test charge
equation

basics of electromagnetism basic electromagnetism source origin of magnetism pictures physics electrodynamics motion of a charged particle positive test charge in a magnetic field
Current-Carrying Wire, positive ions and electrons are shown separated for clarity

Interaction between a current-carrying wire and charge moving at right angle to the wire.

Edward M. Purcell Electricity and Magnetism, Berkeley Physics Course, Vol. 2 in SI units

Interaction between a current-carrying wire and charge moving at right angle to the wire
Interaction between a current-carrying wire and charge moving at right angle to the wire

Charge moving perpendicular to the wire experiences a force parallel to the wire, perpendicular to its direction of motion. Positive ions cannot cause a horizontal field at the test charge position. The x' component of the field from an ion on the left is exactly cancelled by the x' component of the field of a symmetrically positioned ion on the right. The effect we can see is caused by the electrons. Electrons are all moving diagonally in the test charge frame, downward and toward the right. Consider the two symmetrically located electrons e1 and e2. Their electric fields, relativistically compressed in the direction of the electrons' motion, are represented by a field lines. You can see that, although e1 and e2 are equally far away from the test charge, the field of electron e2 is stronger than the field of electron e1 at that location. That is because the line from e2 to the test charge is more nearly perpendicular to the direction of motion of e2. In other words, the angle θ' that appears in the denominator of equation for the magnitude of the field of electron in the frame moving relative to the electron is here different for e1 and e2, so that sin2θ'2>sin2θ'1. That is true for any symmetrically located pair of electrons on the line, as you can verify with the aid of picture. The electron on the right always acts stronger. Therefore, summing over all the electrons must give a resultant field E' in the x direction. The y' component of the electrons' field is exactly cancelled by the field of the ions. That E'y is zero is guaranteed by Gauss's law, for the number of charges per unit length of wire is the same as it was in the lab frame. The wire is uncharged in both frames. The force on the test charge, qE'x, transformed back into the lab frame is a force proportional to v in the x direction, which is the direction of v×B if B is a vector in the z direction, pointing out of the page.

Interaction between a current-carrying wire and charge moving at right angle to the wire

Radiation by an accelerated charge

Alternating magnetic field, electromagnetic radiation, electromagnetic induction

An electric field moves with the velocity that the particle had while emitting that field.

radiation by an accelerated charge
radiation by an accelerated charge

Electric field of a charge that stops

Suppose a charge q has been moving at constant speed v0 in the x direction for a long time. Suddenly it stops after a short period of constant deceleration. Electric field of a charge travels radially outward and moves with the velocity that the charge had while emitting that field.

The velocity versus time graph

The velocity versus time graph.

The electric field

Assuming that the v0 ≪ c, we can neglect the relativistic compression of the field lines. Time t=0 it was the moment when deceleration began, and position x=0 it was the position of the particle at that moment. The particle has been moved a little farther on before coming to a stop, Δx=1/2*v0Δt1. That distance is very small compared with the other distances in the picture.

We now examine the electric field at a time t=Δt2≫Δt1. The electric field reaches a distance R=cΔt2. Thus, the field at a distance greater than R=cΔt2, in region I must be a field of a charge which has been moving and is still moving at the constant speed v0. That field appears to come from the point x=v0Δt2 on the x axis. That is where the particle would be now if it hadn't stopped. On the other hand, the field at a distance less than c(Δt2-Δt1), in region II must be a field of a charge at rest close to the position x=0 (exactly at x=1/2*v0Δt1).

radiation by an accelerated charge

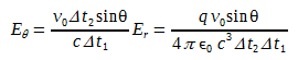
What must the field be like in the transition region, the spherical shell of thickness cΔt1 between region I and region II? A field line segment AB lies on a cone around the x axis which includes a certain amount of flux from the charge q. Due to the Gauss' law, if CD makes the same angle θ with the axis, the cone on which it lies includes that same amount of flux. (Because the v0 ≪ c, we can neglect the relativistic compression of the field lines.) That's why AB and CD must be parts of the same field line, connected by a segment BC. The line segment BC shows us the direction of the filed E within the shell. This field E within the shell has both a radial component Er and a transverse component Eθ. From the geometry of the figure their ratio is easily found.

equation (1)

Due to the Gauss' law, Er must have the same value within the shell thickness that it does in region II near B. That's why Er=q/4πε0R2=q/4πε0c2Δt22, and substituting this in Eq. 1 we obtain
equation (2)
And v0/Δt1 = a, the magnitude of the (negative) acceleration, and cΔt2= R, so our result can be written
equation (3)

A remarkable fact is here revealed: Eθ is proportional to 1/R, not to 1/R2! As time goes on and R increases, the transverse field Eθ will eventually become very much stronger than Er. Accompanying this transverse (that is, perpendicular to R) electric field will be a magnetic field of equal strength perpendicular to both R and E. This is a general property of an electromagnetic wave.

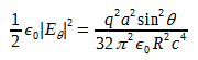
We now calculate the energy stored in the transverse electric field above, in the whole spherical shell. The energy density is
equation (4)
The volume of the shell is 4πR2cΔt1, and the average value of sin2θ over a sphere is 2/3. The total energy of the transverse electric field is consequently
equation (5)
To this we must add an equal amount for the energy stored in the transverse magnetic field:
Total energy in transverse electromagnetic field is
equation (6)
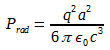
The radius R has canceled out. This amount of energy simply travels outward, undiminished, with speed c from the site of the deceleration. Since Δt1 is the duration of the deceleration, and is also the duration of the electromagnetic pulse a distant observer measures, we can say that the power radiated during the acceleration process was
equation (7)
As it is the square of the instantaneous acceleration that appears in Eq. 7, it doesn't matter whether a is positive or negative. Of course it ought not to, for stopping in one inertial frame could be starting in another. Speaking of different frames, Prad itself turns out to be Lorentz-invariant, which is sometimes very handy. That is because Prad is energy/time, and energy transforms like time, each being the fourth component of a four-vector. We have here a more general result than we might have expected. Equation 7 correctly gives the instantaneous rate of radiation of energy by a charged particle moving with variable acceleration-for instance, a particle vibrating in simple harmonic motion. It applies to a wide variety of radiating systems from radio antennas to atoms and nuclei.

Radiating Charge simulation - PhET INTERACTIVE SIMULATIONS

Purcell appendix B in the CGS system

Electromagnetic radiation of hydrogen atom

According to current theory, the electrons in the atoms occupy only the allowed energy levels and emit radiation only when they jump between energy levels, but it is only a simplification. Every accelerating charged particle emit electromagnetic radiation. Electrons continously emit and absorb electromagnetic radiation. By adding up the waves emitted by the hydrogen atom, we can see that the source is the damped expiring vibrations.

Inverse Fourier transform analysis of a series of hydrogen spectral lines - you can see that the atomic radiation appears to be damped, decaying vibrations.

The different energy of different light frequencies can be explained by the different electromotive force of induction Ɛ=-L dI/dt

In addition, you can consider the formula for the average energy of vibration W=1/2 m ω2 A2

ω=2 π f

* edit I'm adding solutions to the problem of electrons falling into the nucleus of an atom: 1. The old solution - electrons not only emit but also absorb radiation, so if electrons absorb as much energy as they emit, they won't fall into the nucleus. Worse if some energy escapes into the vacuum surrounding the matter of the universe. The question is, is there a vacuum boundary from which electromagnetic radiation reflects and returns, or does the outer part of the matter of the universe expand at the speed of light and stop the radiation, or does gravity bend electromagnetic radiation enough that it returns from the outer vacuum to the matter of the universe? 2. If electrons emit radiation, then protons and quarks do too, so the nuclei of atoms, protons, and neutrons can also shrink as the electron falls into the nucleus. The question is, doesn't the shrinking of atoms and the decreasing distance between particles in a vacuum cause a decrease in the speed of light, preventing us from noticing changes in the size of particles and the distance between them?

electromagnetic radiation of hydrogen atom

electromagnetic radiation of hydrogen atom

The photoelectric effect

According to current theory, the beam of light is not a wave propagating through space, but rather a collection of discrete quantized wave packets (photons), each with energy hν, but it is only a simplification. The energy of light depends on the intensity of the electric field of the electromagnetic wave. The frequency of the electromagnetic wave depends on the velocity and acceleration of the electrons that emit it. The higher the frequency of the wave and the movement of electrons, the greater the accelerations affect the electrons, and thus the intensity of the electric field of the electromagnetic wave emitted by electrons is higher.

photoelectric effect

photoelectric effect

Synchrotron radiation

Relativistic beaming

synchrotron radiation relativistic beaming Lorentz transformation

synchrotron radiation

synchrotron radiation relativistic beaming Lorentz transformation

synchrotron radiation

Velocity addition

relativistic velocity addition, velocity addition formula

Einstein relativistic

velocity addition formula, relativistic velocity addition, velocity addition, einstein velocity addition, velocity-addition formula, what is the velocity formula in physics, relativistic addition of velocities, Einstein relativistic velocity addition formula, Special relativity. Physics science

relativistic velocity addition, velocity addition formula

Einstein relativistic

Matter Waves

de Broglie Matter Waves

Due to The Heisenberg's Uncertainty Principle
Heisenberg's uncertainty principle
Position uncertainty = Interparticle spacing

de Broglie matter waves

de Broglie Matter Waves

Double-slit experiment

Feynman's double-slit experiment

The passage of an electron, neutron, or other particle through a slit in a foil or thin plate induces alternating current and mechanical waves in the foil or plate, and these waves interact with the passing particle. When there are two slits, the propagation of these waves from both sides is restricted by these slits. However, when one slit is covered, these waves can propagate through the cover covering the slit.

electron diffraction interference of interacting matter waves Feynman's double-slit experiment Young's Patrick Kawecki electron diffraction interference of interacting matter waves Feynman's double-slit experiment Young's Patrick Kawecki

Feynman's double-slit experiment

Relativistic mass

relativistic mass

relativistic mass

Relativistic momentum

relativistic momentum

relativistic momentum

Relativistic force

relativistic force

relativistic force

Relativistic energy

relativistic energy

relativistic energy

Mass defect

Beta particle mass

SymbolNameMass (u)Mass (MeV/c2)
e-electron0.0005490.51
e+positron0.0005490.51

Nuclear masses

SymbolNameMass (u)
nneutron1.008665
1
1
H, p
proton1.007276
2
1
D
Deuteron2.013553
3
1
T
Triton3.015500
3
2
He
Helium-33.014932
4
2
He, α
Helium-44.001506

Other masses

SymbolNameMass (u)
νeneutrinounknown

Proton-proton chain reaction

mass defect deficit nuclear binding energy proton-proton chain reaction

proton-proton chain reaction

energy carried off by the neutrino = 0.42 MeV

1 u = 931.466 MeV/c2

Time dilation

Consider a clock consisting of two mirrors 1 and 2, between which a light pulse is bouncing. The distance between mirrors is L and the clock ticks once each time the light pulse hits one of the mirrors. In the frame where the clock is at rest, the light pulse travels a distance of L and the period of the clock is L divided by the speed of light

The equation of time dilation.

time dilation

time dilation

When our clock moves at the speed v, travelling a distance of vT in a time T, light pulse direction is changed and light pulse travels a longer distance than the pulse in a clock at rest. Because the speed of light is constant, light pulse needs more time to reach second mirror.

The equation of time dilation.

Thus, from Pythagorean theorem we can write

The equation of time dilation.

Because the light pulse needs more time to reach second mirror, the clock counts slower.

In addition to the time dilation related to the motion (relative velocity) there is also gravitational time dilation. Gravitational time dilation is a consequence of special relativity in accelerated frames of reference. In general relativity, it is considered to be a difference in the passage of proper time at different positions as described by a metric tensor of spacetime.

Time dilation - Wikipedia

Twin paradox

In physics, the twin paradox is a thought experiment in special relativity involving identical twins, one of the twins makes a space journey at a speed close to the speed of light and when returns home he find that the twin who stayed on Earth is older. This result appears puzzling because each twin sees the other twin as moving, and so, according to an incorrect naive application of time dilation and the principle of relativity, each should paradoxically find the other to have aged more slowly. However, this scenario can be resolved within the standard framework of special relativity: the travelling twin's trajectory involves two different inertial frames, one for the outbound journey and one for the inbound journey, and so there is no symmetry between the spacetime paths of the two twins. Therefore the twin paradox is not a paradox in the sense of a logical contradiction.

Twin paradox - Wikipedia

Has it been confirmed?

Yes, two scientists took four atomic clocks and set them to be at exactly the same time. They flew twice around the world, first eastward, then westward, and compared the clocks against others that remained at ground. When they got back, they found out that clocks disagree with one another, and their differences were consistent with the predictions of special and general relativity.

Clocks on the ISS space station run slightly slower than reference clocks on Earth, while clocks on GPS and Galileo satellites run slightly faster.


Hafele-Keating experiment - Wikipedia

Time dilation experiment - YouTube

Modern tests

back to top
adblock statement